近日,通辽市交通运输局发布关于对新能源巡游出租汽车奖补资金发放情况的公示。
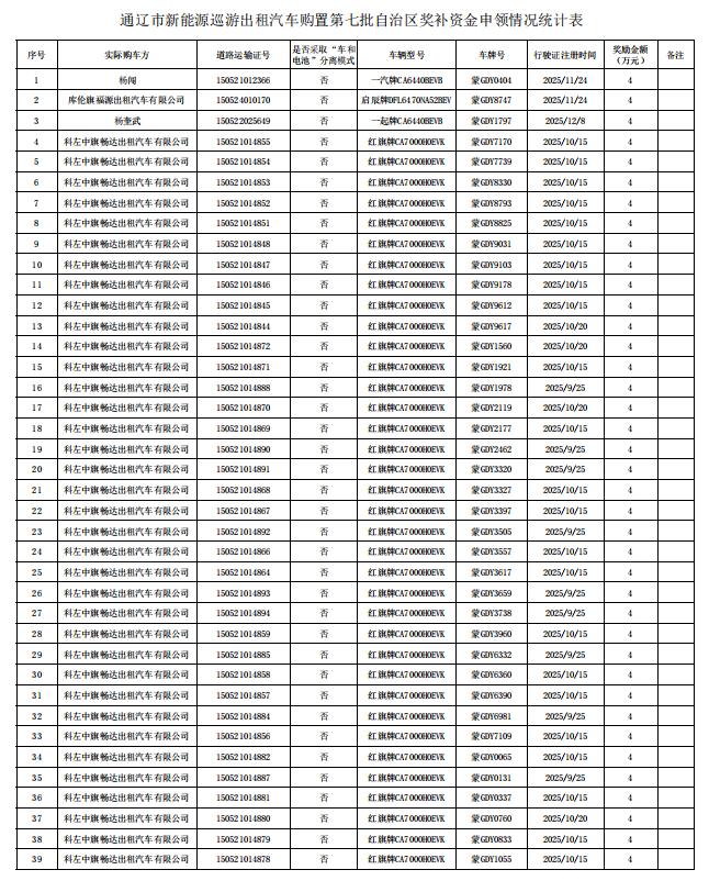
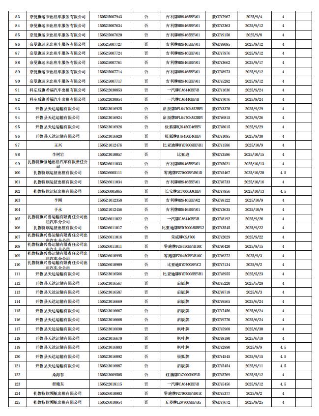
公示显示,根据《内蒙古自治区交通运输厅 财政厅关于修订<“十四五”推广应用新能源巡游出租车奖补实施细则>的通知》(内交发〔2024〕183号)等文件要求,对通过内蒙古自治区新能源巡游出租车和换电站补贴资金申报系统所申报补贴申请,经属地交通运输局初审、盟市交通运输局复审,拟对143名出租汽车经营者发放补贴资金575.5万元,现对发放情况予以公示。
公示时间:2025年12月30日至2026年1月3日。
原文内容如下:
关于对新能源巡游出租汽车奖补资金发放情况的公示
根据《内蒙古自治区交通运输厅 财政厅关于修订<“十四五”推广应用新能源巡游出租车奖补实施细则>的通知》(内交发〔2024〕183号)等文件要求,对通过内蒙古自治区新能源巡游出租车和换电站补贴资金申报系统所申报补贴申请,经属地交通运输局初审、盟市交通运输局复审,拟对143名出租汽车经营者发放补贴资金575.5万元,现对发放情况予以公示。
公示时间:2025年12月30日至2026年1月3日,公示期内如有疑问可通过来函、电话等形式咨询或反映情况。
受理电话:0475-8258740
附件:附件:通辽市新能源巡游出租汽车购置第七批自治区奖补资金申领情况统计表.xlsx
通辽市交通运输局
2025年12月30日
附件:




切换行业





正在加载...


